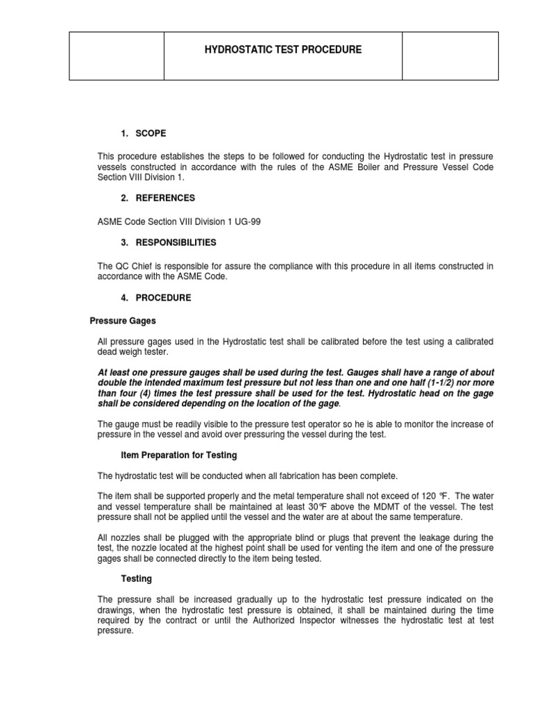
7 PRESSURE ZERO TEST PROCEDURE
PRESSURE ZERO TEST PROCEDURE
Hello, many thanks for visiting this website to search for pressure zero test procedure. I am hoping the information that appears can be helpful to you









pipefitting pressure test , Figure 2. Pressure Drop Test Procedure , Hydrostatic pressure testing of PE pipelines (handbook) as , HYDROSTATIC TEST PROCEDURE.pdf Pressure Measurement , Heat Exchangers Hydrostatic Test Procedure , Pressure Test Procedure Valve Hydraulic Engineering , Hydrostatic Test Procedure Leak Pressure , (PDF) TESTING OF HEAVY TRUCK TIRE PRESSURE MONITORING , HYDROSTATIC TEST PROCEDURE.pdf Pressure Measurement , â«ÙÙØ²Ùاء McGraw HillØ¡ ٠سائ٠خصائص اÙÙ ÙØ§Ø¦Ø¹2 13â¬â YouTube , HYDROSTATIC TEST PROCEDURE.pdf , LAFD Chief's Regulation 4 Test Procedures 2014 by Los , Pneumatic Testing Procedure for Pipelines Pressure , pressure zero test procedure,
Hello, many thanks for visiting this website to search for pressure zero test procedure. I am hoping the information that appears can be helpful to you



Belum ada Komentar untuk "7 PRESSURE ZERO TEST PROCEDURE"
Posting Komentar